于都仁豐加油站危險化學品(成品油)儲存經營
發布時間:2020-07-18
|
安全評價單位名稱 |
于都仁豐加油站 |
||
|
項目名稱: |
危險化學品(成品油)儲存經營安全現狀評價報告 |
||
|
簡 介: |
|||
|
于都仁豐加油站位于都縣盤古山鎮西500m,在其隔小河東南約60m為原盤古山水泥廠,加油站位于于(都)盤(古山)公路東側。該加油站1995年建成。2014年對該加油站進行改建。該加油站由江西省化工設計院設計,改建主要涉及罩棚鋼結構、網架、油儲罐及卸油系統、加油機及工藝系統。于都縣公安消防大隊依據有關消防法律、法規,認為場所具備消防安全條件,符合國家消防技術標準規定,在消防方面具備使用條件,同意營業。該站于2014年2月取得了江西省商務廳頒發的成品油零售經營批準證書(油零售證書第贛B04-53309號),2014年8月取得危險化學品經營許可證(贛安監管經[甲]字[2014]000068),2017年8月經于都縣原安監局審批辦理了延期換證。
根據《中華人民共和國安全生產法》,《危險化學品安全管理條例》(國務院第591號令),《危險化學品經營許可證管理辦法》國家安監總局令第55號要求,所有經營危險化學品的企業危險化學品經營許可證到期后必須重新申請延期。延期辦理危險化學品經營許可證的單位必須進行安全現狀評價 |
|||
|
安全評價項目組長: |
劉志強 |
||
|
技術負責人: |
馬 程 |
||
|
過程控制負責人: |
檀廷斌 |
||
|
評價報告編制人: |
劉志強 |
||
|
報告審核人: |
李永輝 |
||
|
參與評價工作的安全評價師: |
劉志強、李永輝、陳 浩 |
||
|
注冊安全工程師: |
劉志強、李永輝 |
||
|
技術專家: |
劉志強,化工工藝工程師 |
||
|
到現場開展安全評價工作的人員名單: |
劉志強 |
||
|
時間和主要任務: |
完成時間:2020年7月20日;
主要任務:安全現狀評價報告; |
||
|
評價報告: |
|||
|
一、評價對象及范圍:
本評價范圍為該加油站在用的設施、設備以及儲存、經營場所的安全狀況;評價該站的安全管理制度、安全組織機構及其安全管理水平。具體范圍如下:
1.層站房1棟(其中半地下1層)及加油罩棚
二、項目基本情況:
該加油站地處于都縣盤古山鎮西500m處,位于于(都)盤(古山)公路旁,加油站建在該公路東南偏南側,站內有水泥地面與公路相連,站區加油作業區域內地勢平坦,站南側有一小河,排水方便。油罐區設加油站東部,也即站房后面,該油罐區采用四周砌石墻,其油罐安裝位置高于地面,油罐頂及四周填干中性細沙。油罐區東面為空坪(停車場)院落,地勢比油罐低,不會積水??掌嚎偯娣e約有20×30,再往東是零散民宅和耕地菜地;西面為小河,小河西面為原水泥廠,現已廢棄,原車間距加油站約有55m;北面為于(都)盤(古山)公路,公路北側是零散雜貨店,這些商店最近距加油站加油機16m;站區東面為進停車場(20×30)院落大門。四周25m內無其它工業設施、工廠、學校。
該加油站站區面積1079m2 ,建筑面積446m2 。站房鋼混結構,耐火等級為二級。罩棚為混凝土柱鋼網架結構,高為6.0m,耐火等級為二級。
加油站的罩棚內設車輛通道,來往車輛可在加油機兩側加油作業、進出,加油島至公路路基6~8m,加油島靠站房寬度6m。
油罐區位于站區的東南部即站房后面,布置有3臺埋地臥式貯罐,油罐區與站房地勢低,油罐區東面偏南一側地面比站房地面低約2m,而西側有一小溪,所以油罐三面(除站房一側)的1.2m燃燒實體防護墻相對油罐外面有1.6m高,密封卸油點設在油罐東南面,卸油點配備手提式干粉滅火器,設卸油靜電接地報警儀。油罐量油孔為鋁銅材質,上鎖。油罐進出油管處設人孔和操作井。加油機安裝在罩棚內,呈單排布置,加油機之間距離1.5m,每臺加油機牢固安裝在連體的加油島上,加油機距站房6m。在北側設安全警示標志,以防大型車輛進入站房與加油機之間。油罐出油管沿油罐的北側埋地與加油機聯通,油管溝用沙填實。
卸油工藝:油罐車行駛至加油站內密封卸油口停車處,利用油罐車與地下儲油罐的高位差,采用密閉式卸油。采用油氣回收系統,在油罐車卸油過程中,將原來儲油罐內散溢的油氣,通過油氣回收地下工藝管線及卸車軟管重新收集至油罐車內,實現卸油與油氣等體積置換。其工藝流程如下圖:
卸油油氣
卸油工藝流程圖
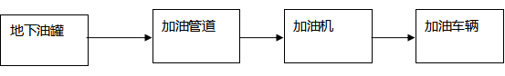
加油工藝:加油作業時,采用潛油泵提供的動力,油品通過加油管道至加油機,進入受油容器。同時,加汽油作業時,有油氣回收回收系統,汽油蒸汽通過油氣回收管道回至汽油罐。具體流程見下圖:
柴油加油工藝流程圖
汽油加油工藝流程圖
1)0#柴油40m3臥式鋼質貯罐1臺;92#和95#汽油35m3臥式鋼質貯罐各1臺。
2)配自封式潛油泵稅控雙槍加油機2臺,流量范圍5-50L/min,型號SK520QF222K,SK560QF224K,防爆合格證編號:CNEx16.0247,防爆標志:ExdibⅡAT3Gb,北京三盈聯合石油技術有限公司產品。
三、評價結論
1)該加油站為成品油零售企業,屬于三級加油站,汽油柴油儲量未超過臨界量,不構成重大危險源?;馂?、爆炸是該加油站的主要危險。
2)該加油站危險度評價表明:油罐罐區為低度危險;《加油站安全評價檢查表》判定該加油站有強制項全部符合;非強制頂全部符合。按《危險化學品經營單位安全評價現場檢查表》評價:A項均合格,B項符合。
3)該加油站的總平面布置、安全間距、建筑結構、消防、電氣安全防護和其它安全設施經整改落實后基本符合國家和行業相關標準、規范的要求。
4)該加油站安全生產管理制度基本齊全,安全管理制度制度執行情況較好,作業人員勞動防護用品穿著齊全、規范,基本上可以滿足在正常運行過程中的安全生產的要求。該站已建立了事故應急救援預案,經于都縣應急管理局備案登記,但未演練。
綜合所述:該加油站選址合理,建站程序符合要求。加油機、儲油罐等設備由專業廠家生產,工藝流程合理,工藝布置得當,各建筑物距站外有關設施的安全距離基本符合標準要求。站內建筑設施之間距離中加油機與站房的距離符合規范要求,加油島端與罩棚柱的距離符合規范要求。站房、罩棚等站內建筑物的耐火等級及防雷、防靜電接地設施符合標準要求。配電線路整齊,設施符合標準,管理人員有一定的安全管理經驗,從業人員經培訓。安全制度較完善、安全組織健全。該加油站已整改落實,加油站符合安全經營條件的標準。
|
|||
|
提交時間: |
2020年7月18日 |
||
|
現場影像資料 |
|||





